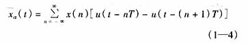
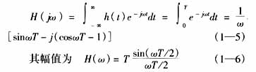
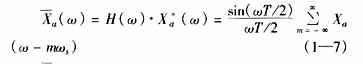
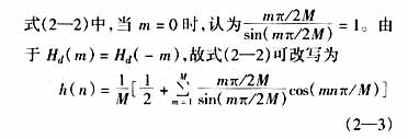
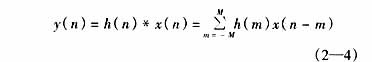
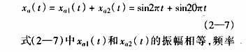
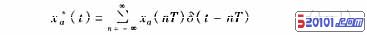
| 1 数模转换器(D/A)的数学模型[1] 设数字化信号处理系统的原始模拟输入信号为xa(t),经过冲激采样,得到理想采样信号 式(1—1)中T为采样的时间间隔。 ![]() 在实际系统中,理想采样信号通过A/D转换器在t=nT时刻量化为数据序列x(n),经D/A转换器输出,波形如图1—2a所示。图中波形可以看作是一系列矩形脉冲的顺序排列组合,每一个矩形脉冲是D/A转换器对输入数据的冲激响应,故D/A转换器的单位冲激响应为一高度为1,宽度为T的矩形脉冲,表示为 ![]() ![]() 式(1-3)中,u(t-T)分别为t=0和t=T时刻的单位阶跃函数。由此,D/A转换器的输出波形可由下式表达 ![]() D/A转换器的频率响应函数H(jω)为式(1—3)的傅里叶变换,即 ![]() 当以时间间隔T向D/A转换器传递数据序列x(n)时,可以认为式(1—1)所示的理想采样信号作用在D/A转换器的输入端,其输出信号的频谱幅值为 ![]() 2 D/A转换过程中频谱失真的校正方法 针对D/A转换器的频响特性,校正网络在0~ 式(2—1)中略去了H(ω)的系数T。文中利用FIR型数字滤波器实现式(2—1)的校正特性。 FIR型数字滤波器的频率采样设计法可以实现任意的频率响应特性。其基本的设计思想是对理想频响特性Hd(ω)进行频率取样,然后对取样值进行离散频率、离散时间的傅里叶反变换,获得滤波器的单位冲激响应h(n)。而滤波器计算公式为h(n)与输入序列x(n)的离散卷积运算。 对于式(2—1)所示的理想特性,滤波器的单位冲激响应为 ![]() ![]() 滤波器的输出公式为 ![]() 将单位冲激响应h(n)进行一次离散时间、连续频率的傅里叶正变换,就得到连续频率变量的滤波器频响函数 ![]() ![]() 取M=20,由式(2—3)计算滤波器的冲激响应h(n)如图2-1a所示。由式(2-6)计算0~ 为检验实际校正的结果,设模拟输入信号为双频信号 ![]() 分别为1Hz和10Hz。取采样频率为25Hz,令采样并量化的序列x(n)经式(2—4)校正运算后再由D/A转换器输出,则恢复的波形频谱如图2—1d所示。由图2—1可见,在0 3 结束语 D/A转换器是一个数字模拟混合器件。但在分析中,将以相等时间间隔锁定到D/A转换器的数据序列看作是理想采样信号,从而导出了D/A转换器的幅频特性式(1—6)。说明了D/A转换器可以看作是一种特殊的模拟低通滤波器。又根据式(1—6),直接写出校正网络理想化的传递特性式(2—1),由此利用频率采样法设计FIR校正滤波器,具有理想的频谱校正效果。 |












网友评论