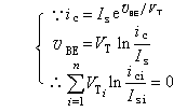
在闭合的TL回路内,发射极正向电压之和恒等于0,即:
| ![]() |
| ◆ TL回路必须满足两个条件: | |
| l)环路中的PN结数目必定是偶数。 | |
在环内,PN结排列次序并不重要,但往往利用可能的合理排列顺序,才创造出各种有价值的具体电路,但它们均是成对出现,它们之间反向饱和电流可能有不同的温度特性,但仍设为同一类型,若有差别,仅仅在于发射区面积。 根据上述论述可得: | |
|
| |
| ◆ TL回路原理: | |
| 在含有偶数个正偏发射结,且顺时针方向结的数目与逆时针方向结的数目相等的闭环回路中,顺时针方向的发射结电流密度之积等于逆时针发射极电流密度之积。 | |
| ◆ ▲若TL回路中发射区面积比例系数为λ。λ尽可能保证为1, | |
即可写为:![]() | |
| (CW——顺时针;CWW——反时针) | |
| ▲若λ=1,可得 | |
![]() | |
| 说明在TL回路中,当发射区面积比例系数λ=1时, | |
| ◆ TL回路基本电路举例——典型的甲乙类推挽电流模电路: | |
![]() | |
| |
![]() | |
| 则iC1、iC2与i1成线性关系。 | |







网友评论