
图(A)跨导线性四象限相乘器(电流模相乘器)
图(B)线性四象限可变跨导相乘器(电鼓O喑似鳎?/font>
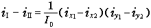
说明:图(A)两个流控电流电路组成相乘核等效图中流控吉尔伯特相乘核。
相同:均实现
, υ0=AMυxυy
不同:电流模相乘器-3dB带宽做到0.5MHz~1GMHz,而电压模相乘器在输出达满幅度
为±10V情况下,-3dB带宽只能达到10MHz。
原因:
A)工艺不同。电压模采用标准双极型工艺;电流模采用CB工艺,工作带宽可达1GMHz;
B)V-I变换器的负反馈电阻RE在电流模相乘器比在电压模相乘器中阻值要大大减小,
这样不仅仅减小带宽内噪声,而且输入电压摆幅大大减小,所以输出级只能采用
基本上无电压摆幅的电流放大器。
网友评论