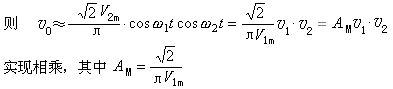
υ1V1mcosω1tυ2V2mcosω2t
V1m>>V2mV1m>>VD(on)

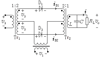
    (1)电路及特点

  • D1、D2是特性完全相同的开关二极管;

  • Tr1次级、Tr2的初级有中心抽头,上下严格对称;

  • υ1同相加到D1,D2上;
    υ2反相加到D1,D2上。

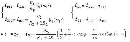
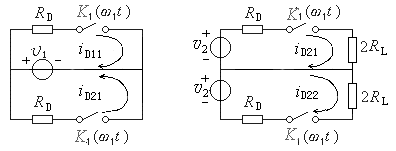
  • 电流差分输出,即iiD1iD2

  • 二极管平衡相乘器,大信号υ1控制D1、D2开关工作

  • 输出差动电流i=iD1-iD2波形含ω2ω1±ω2、3ω1±ω2、……

  • 输出必须加LC带通滤波(中心频率谐振在ω1上,BW3dB=2ω2),那在负载上即可实现υ0υ1·υ2的波形,但只含ω1±ω2的频谱分量

     (2)工作原理

  • υ1>0,D1,D2导通υ1<0,D1,D2截止

 

  

  

  • LC电路并联谐振阻抗ReoRL,并RL>>RD时,