1、开关函数分析方法 |
开关函数分析条件:当V1m>>V2m,V2m>>VD(on),若加到二极管两端电压为υ=υ1+υ2,视大信号 |
|
RD为二极管导通电阻。 |
1)若v1=V1mcosω1t时 |
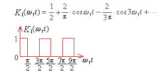
A)单向正相开关函数K1(ω1t) |
|
|
|
|
|
所以大信号υ1控制二极管开关工作,要求V1m>>V2m,V1m>>VD(on) |
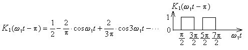
B)单向反相开关函数K1(ω1t-π) C)双向开关函数K2(ω1t) 2)若υ1=V1msinω1t时 A)单向正相开关函数K1(ω1t)
B)单向反相开关函数K1(ω1t-π)
C)双向开关函数K2(ω1t) |








网友评论